Same Day Delivery in Delhi 7496865680
Product Image 1 Product Image 2
1 / 2
Thumbnail 1
Thumbnail 2

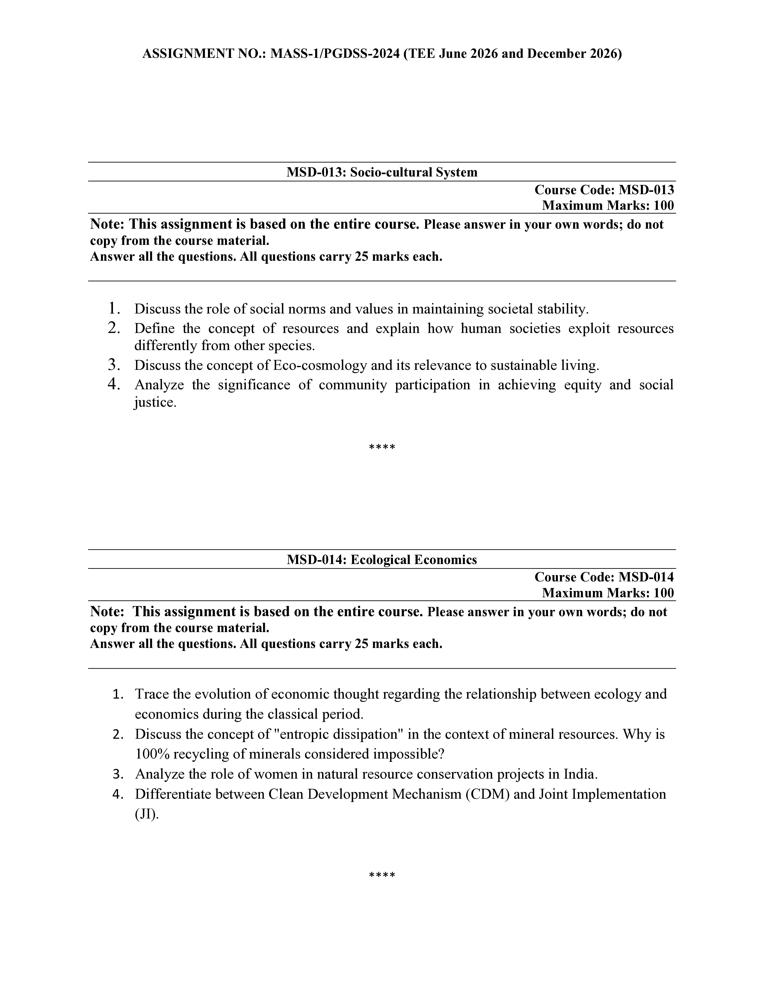
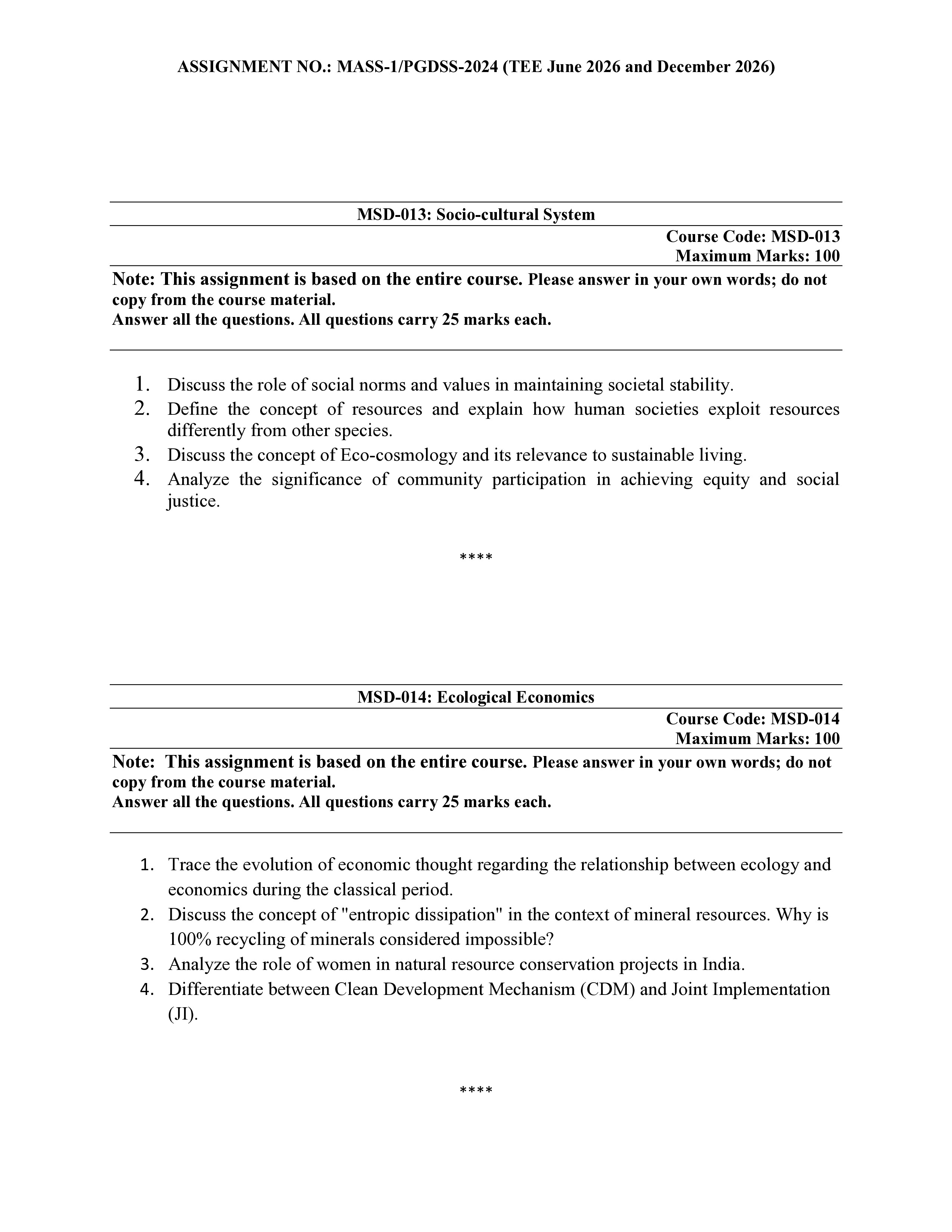
IGNOU MSD 014 Solved Assignment 2025-2026: Ecological Economics (English Medium) | IGNOU Students Portal

| In Stock
₹25 ₹40 38% OFF
Secure Payment
Instant Download

Product Details

Course: MASS, PGDSS
Category: Solved Assignments (Typed)
Pages:
Format: pdf
Language: English
Session: 2025-2026

Valid for:

The assignment PDF will be provided after successful order placement and a short processing time.

Product Description

Looking for the verified MSD 014 Solved Assignment 2025-2026? At www.ignoustudentsportal.com, we provide the most accurate and updated solutions for the "Ecological Economics" This PDF is specifically designed for IGNOU students enrolled in MASS, PGDSS (Master of Arts(Sustainability Science)), and other CBCS programs.

Don't risk your grades with unverified content. Our MSD 014 solved assignment follows the official IGNOU July 2025-January 2026 session guidelines, ensuring you submit correct and marks-oriented answers to your study center.

✅ Key Features for Students:
• 100% Correct Answers: Prepared by subject experts specifically for the MSD 014 curriculum.
• Course Codes: Relevant for MASS, PGDSS, and related IGNOU programs.
• Instant Access: Download the PDF immediately after payment from IGNOU Students Portal.
• Latest Session: Fully updated for the 2025-2026 TMA (Tutor Marked Assignment).
• Submission Ready: Structured format to help you score 80-90+ marks in your continuous evaluation.

📌 Why Trust IGNOU Students Portal? Assignments carry 30% weightage in your final IGNOU marksheet. One mistake in your TMA can lower your overall percentage. ignoustudentsportal.com is trusted by thousands of students for providing reliable, plagiarism-free, and easy-to-understand study materials that simplify your IGNOU journey.

⚠️ Disclaimer: This MSD 014 Ecological Economics solved assignment is for reference purposes. We recommend using these verified answers as a guide to write your own unique responses to ensure 100% originality during submission.

📜 Terms & Conditions
1. This product is non-refundable once downloaded.
2. Files are for personal use only—redistribution or resale is prohibited.
3. In case of any technical issue with the download link, contact our support within 24 hours for assistance.
4. Assignments are regularly updated as per the latest IGNOU guidelines.

👉 Get your MSD 014 Solved Assignment 2025-2026 (English Medium) now and download instantly after payment from www.ignoustudentsportal.com.

Student Reviews

No reviews yet. Be the first to review!

Please login to write a review.

Related Products

IGNOU MEDS 044 Solved Assignment 2025-2026: Monitoring and Evaluation of Projects and Programmes (English Medium) | IGNOU Students Portal

IGNOU MEDS 044 Solved Assignment 2025-2026: Monitoring and Evaluation of Projects and Programmes (English Medium) | IGNOU Students Portal

Looking for the verified MEDS 044 Solved Assignment 2025-202...

₹25.00 ₹40.00
IGNOU MEDS 051 Solved Assignment 2025-2026: Fundamentals of CSR (English Medium) | IGNOU Students Portal

IGNOU MEDS 051 Solved Assignment 2025-2026: Fundamentals of CSR (English Medium) | IGNOU Students Portal

Looking for the verified MEDS 051 Solved Assignment 2025-202...

₹25.00 ₹40.00
IGNOU MEV 025 Solved Assignment 2025-2026: Climate Change and Society (English Medium) | IGNOU Students Portal

IGNOU MEV 025 Solved Assignment 2025-2026: Climate Change and Society (English Medium) | IGNOU Students Portal

Looking for the verified MEV 025 Solved Assignment 2025-2026...

₹25.00 ₹40.00