Same Day Delivery in Delhi 7496865680
Product Image 1 Product Image 2
1 / 2
Thumbnail 1
Thumbnail 2

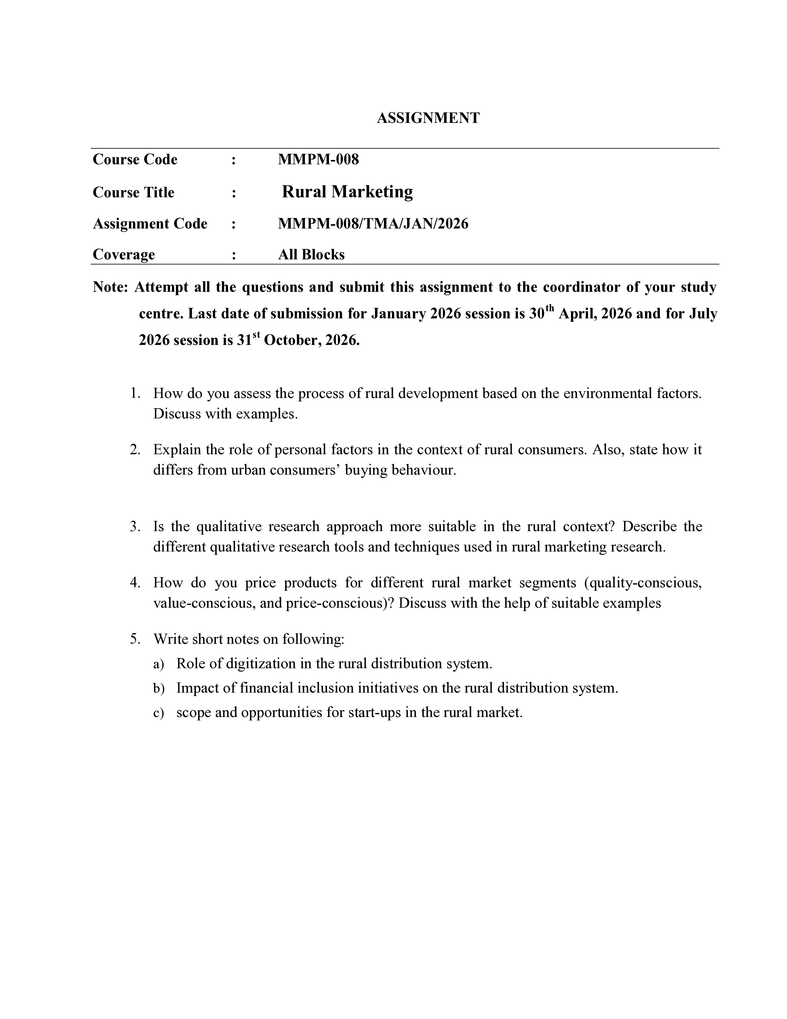
IGNOU MMPM 008 Solved Assignment 2026-26: Rural Marketing (English Medium) | IGNOU Students Portal

| In Stock
₹25 ₹40 38% OFF
Secure Payment
Instant Download

Product Details

Course: MBA, PGDISM, MBAMM, PGDIMM, MBAOL
Category: Solved Assignments (Typed)
Pages:
Format: pdf
Language: English
Session: 2026-26

Valid for:

Before making the payment, please check the assignment question paper shown in the thumbnail image carefully to avoid any confusion. Purchase the assignment only if the question paper matches your subject code, medium, session, and all other details and questions.

Product Description

Looking for the verified MMPM 008 Solved Assignment 2026-26? At www.ignoustudentsportal.com, we provide the most accurate and updated solutions for the "Rural Marketing" This PDF is specifically designed for IGNOU students enrolled in MBA, MBAOL, MBAMM, PGDISM, PGDIMM (Master of Business Administration, Master of Business Administration (Online), Master of Business Administration(Marketing Management), Post Graduate Diploma(Services Management), Post Graduate Diploma(Marketing Management)), and other CBCS programs.

Don't risk your grades with unverified content. Our MMPM 008 solved assignment follows the official IGNOU July 2025-January 2026 session guidelines, ensuring you submit correct and marks-oriented answers to your study center.

✅ Key Features for Students:
• 100% Correct Answers: Prepared by subject experts specifically for the MMPM 008 curriculum.
• Course Codes: Relevant for MBA, MBAOL, MBAMM, PGDISM, PGDIMM, and related IGNOU programs.
• Instant Access: Download the PDF immediately after payment from IGNOU Students Portal.
• Latest Session: Fully updated for the 2026-26 TMA (Tutor Marked Assignment).
• Submission Ready: Structured format to help you score 80-90+ marks in your continuous evaluation.

📌 Why Trust IGNOU Students Portal? Assignments carry 30% weightage in your final IGNOU marksheet. One mistake in your TMA can lower your overall percentage. ignoustudentsportal.com is trusted by thousands of students for providing reliable, plagiarism-free, and easy-to-understand study materials that simplify your IGNOU journey.

⚠️ Disclaimer: This MMPM 008 Rural Marketing solved assignment is for reference purposes. We recommend using these verified answers as a guide to write your own unique responses to ensure 100% originality during submission.

📜 Terms & Conditions
1. This product is non-refundable once downloaded.
2. Files are for personal use only—redistribution or resale is prohibited.
3. In case of any technical issue with the download link, contact our support within 24 hours for assistance.
4. Assignments are regularly updated as per the latest IGNOU guidelines.

👉 Get your MMPM 008 Solved Assignment 2026-26 (English Medium) now and download instantly after payment from www.ignoustudentsportal.com.

Student Reviews

No reviews yet. Be the first to review!

Please login to write a review.

Related Products

IGNOU MMPC 001 Solved Assignment 2024-25 (ENGLISH Medium) – Download PDF

IGNOU MMPC 001 Solved Assignment 2024-25 (ENGLISH Medium) – Download PDF

Looking for the IGNOU MMPC 001 Solved Assignment 2024-25 (Ma...

₹25.00 ₹40.00
IGNOU Handwritten Assignment Hardcopy – MMPC 001 (Management Functions and Organisational Processes  ) 2024-25, ENGLISH Medium

IGNOU Handwritten Assignment Hardcopy – MMPC 001 (Management Functions and Organisational Processes ) 2024-25, ENGLISH Medium

Get your MMPC 001 (Management Functions and Organisational P...

₹380.00 ₹500.00
IGNOU MMPC 002 Solved Assignment 2024-25 (ENGLISH Medium) – Download PDF

IGNOU MMPC 002 Solved Assignment 2024-25 (ENGLISH Medium) – Download PDF

Looking for the IGNOU MMPC 002 Solved Assignment 2024-25 (Hu...

₹25.00 ₹40.00