Same Day Delivery in Delhi 7496865680
Product Image 1 Product Image 2 Product Image 3 Product Image 4
1 / 4
Thumbnail 1
Thumbnail 2
Thumbnail 3
Thumbnail 4

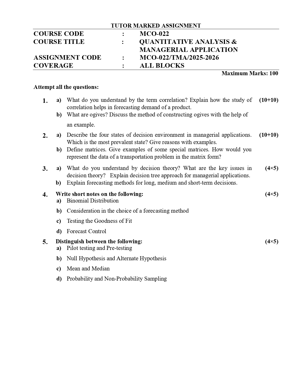
IGNOU MCO 22 Solved Assignment 2025-2026: Quantitative Analysis for Managerial Applications (English Medium) | IGNOU Students Portal

| In Stock
₹25 ₹40 38% OFF
Secure Payment
Instant Download

Product Details

Course: MCom
Category: Solved Assignments (Typed)
Pages: 20
Format: pdf
Language: English
Session: 2025-2026

Valid for:

This solved assignment is for the academic year 2025-2026 and is valid for both July 2025 and January 2026 admission cycles.

Product Description

Looking for the verified MCO 22 Solved Assignment 2025-2026? At www.ignoustudentsportal.com, we provide the most accurate and updated solutions for the "Quantitative Analysis for Managerial Applications" This PDF is specifically designed for IGNOU students enrolled in MCOM (Master of Commerce(Mcom)), and other CBCS programs.

Don't risk your grades with unverified content. Our MCO 22 solved assignment follows the official IGNOU July 2025-January 2026 session guidelines, ensuring you submit correct and marks-oriented answers to your study center.

✅ Key Features for Students:
• 100% Correct Answers: Prepared by subject experts specifically for the MCO 22 curriculum.
• Course Codes: Relevant for MCOM, and related IGNOU programs.
• Instant Access: Download the PDF immediately after payment from IGNOU Students Portal.
• Latest Session: Fully updated for the 2025-2026 TMA (Tutor Marked Assignment).
• Submission Ready: Structured format to help you score 80-90+ marks in your continuous evaluation.

📌 Why Trust IGNOU Students Portal? Assignments carry 30% weightage in your final IGNOU marksheet. One mistake in your TMA can lower your overall percentage. ignoustudentsportal.com is trusted by thousands of students for providing reliable, plagiarism-free, and easy-to-understand study materials that simplify your IGNOU journey.

⚠️ Disclaimer: This MCO 22 Quantitative Analysis for Managerial Applications solved assignment is for reference purposes. We recommend using these verified answers as a guide to write your own unique responses to ensure 100% originality during submission.

📜 Terms & Conditions
1. This product is non-refundable once downloaded.
2. Files are for personal use only—redistribution or resale is prohibited.
3. In case of any technical issue with the download link, contact our support within 24 hours for assistance.
4. Assignments are regularly updated as per the latest IGNOU guidelines.

👉 Get your MCO 22 Solved Assignment 2025-2026 (English Medium) now and download instantly after payment from www.ignoustudentsportal.com.

Student Reviews

No reviews yet. Be the first to review!

Please login to write a review.

Related Products

IGNOU MCO 01 Solved Assignment 2024-25 (English Medium) – Download PDF

IGNOU MCO 01 Solved Assignment 2024-25 (English Medium) – Download PDF

Looking for the IGNOU MCO 01 Solved Assignment 2024-25 (ORGA...

₹25.00 ₹40.00
IGNOU Handwritten Assignment Hardcopy – MCO 01 (  ORGANISATION THEORY AND BEHAVIOUR ) 2024–25, English Medium

IGNOU Handwritten Assignment Hardcopy – MCO 01 ( ORGANISATION THEORY AND BEHAVIOUR ) 2024–25, English Medium

Get your MCO 019 ( ORGANISATION THEORY AND BEHAVIOUR , Engl...

₹380.00 ₹500.00
IGNOU MCO 04 Solved Assignment 2024-25 (English Medium) – Download PDF

IGNOU MCO 04 Solved Assignment 2024-25 (English Medium) – Download PDF

Looking for the IGNOU MCO 04 Solved Assignment 2024-25 (BUSI...

₹25.00 ₹40.00