Same Day Delivery in Delhi 7496865680
Product Image 1 Product Image 2
1 / 2
Thumbnail 1
Thumbnail 2

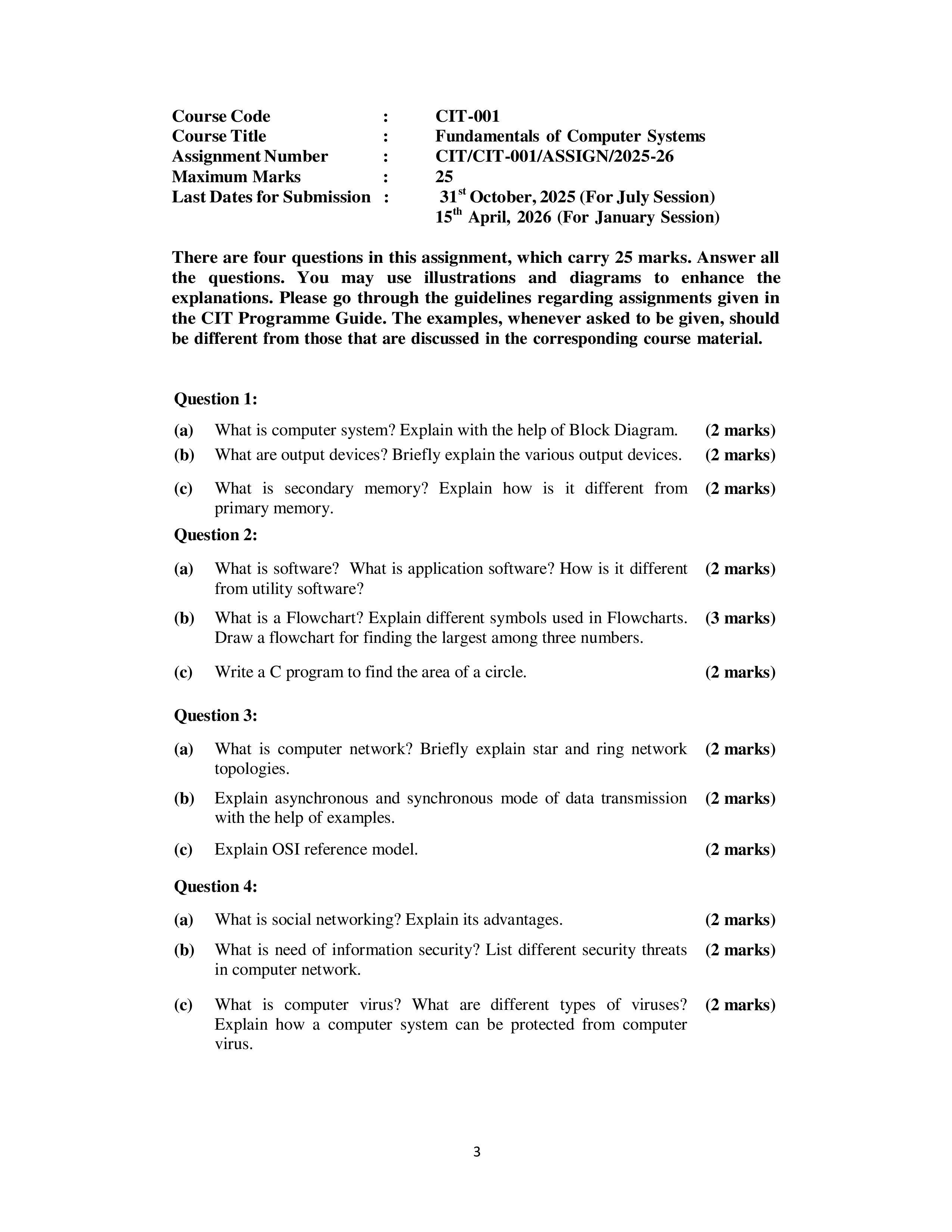
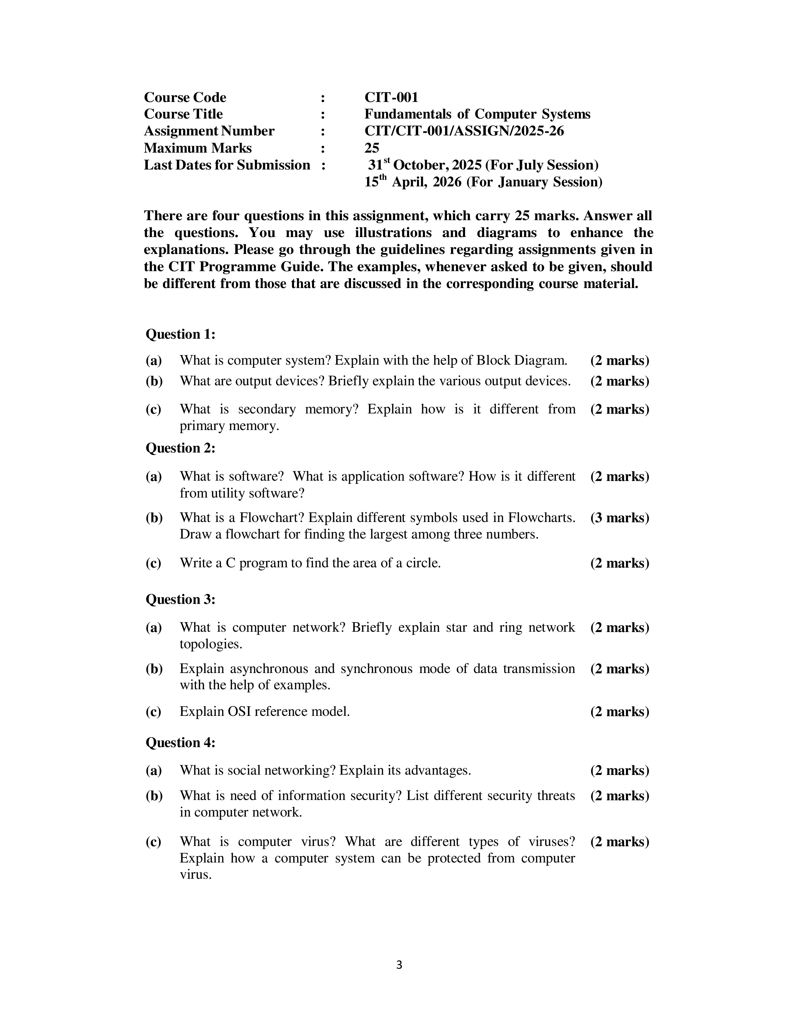
IGNOU CIT 001 Solved Assignment 2025-2026: Fundamentals of Computer Systems (English Medium) | IGNOU Students Portal

| In Stock
₹25 ₹40 38% OFF
Secure Payment
Instant Download

Product Details

Course: BTS, BAFSM, CIT
Category: Solved Assignments (Typed)
Pages:
Format: pdf
Language: English
Session: 2025-2026

Valid for:

The assignment PDF will be provided after successful order placement and a short processing time.

Product Description

Looking for the verified CIT 001 Solved Assignment 2025-2026? At www.ignoustudentsportal.com, we provide the most accurate and updated solutions for the "Fundamentals of Computer Systems" This PDF is specifically designed for IGNOU students enrolled in BAFSM, CIT, BTS, BAFSM (Certificate in Information Technology), and other CBCS programs.

Don't risk your grades with unverified content. Our CIT 001 solved assignment follows the official IGNOU July 2025-January 2026 session guidelines, ensuring you submit correct and marks-oriented answers to your study center.

✅ Key Features for Students:
• 100% Correct Answers: Prepared by subject experts specifically for the CIT 001 curriculum.
• Course Codes: Relevant for BAFSM, CIT, BTS, BAFSM, and related IGNOU programs.
• Instant Access: Download the PDF immediately after payment from IGNOU Students Portal.
• Latest Session: Fully updated for the 2025-2026 TMA (Tutor Marked Assignment).
• Submission Ready: Structured format to help you score 80-90+ marks in your continuous evaluation.

📌 Why Trust IGNOU Students Portal? Assignments carry 30% weightage in your final IGNOU marksheet. One mistake in your TMA can lower your overall percentage. ignoustudentsportal.com is trusted by thousands of students for providing reliable, plagiarism-free, and easy-to-understand study materials that simplify your IGNOU journey.

⚠️ Disclaimer: This CIT 001 Fundamentals of Computer Systems solved assignment is for reference purposes. We recommend using these verified answers as a guide to write your own unique responses to ensure 100% originality during submission.

📜 Terms & Conditions
1. This product is non-refundable once downloaded.
2. Files are for personal use only—redistribution or resale is prohibited.
3. In case of any technical issue with the download link, contact our support within 24 hours for assistance.
4. Assignments are regularly updated as per the latest IGNOU guidelines.

👉 Get your CIT 001 Solved Assignment 2025-2026 (English Medium) now and download instantly after payment from www.ignoustudentsportal.com.

Student Reviews

No reviews yet. Be the first to review!

Please login to write a review.

Related Products

IGNOU Handwritten Assignment Hardcopy – BTSC 102 ( TOURISM RESOURCES OF INDIA-I) 2025-26, English Medium

IGNOU Handwritten Assignment Hardcopy – BTSC 102 ( TOURISM RESOURCES OF INDIA-I) 2025-26, English Medium

Get your BTSC 102 ( TOURISM RESOURCES OF INDIA-I), English M...

₹380.00 ₹500.00
IGNOU BHC 011 Solved Assignment 2025-2026: Basics of Event Management (English Medium) | IGNOU Students Portal

IGNOU BHC 011 Solved Assignment 2025-2026: Basics of Event Management (English Medium) | IGNOU Students Portal

Looking for the verified BHC 011 Solved Assignment 2025-2026...

₹25.00 ₹40.00
IGNOU BHC 012 Solved Assignment 2025-2026: Event Planning (English Medium) | IGNOU Students Portal

IGNOU BHC 012 Solved Assignment 2025-2026: Event Planning (English Medium) | IGNOU Students Portal

Looking for the verified BHC 012 Solved Assignment 2025-2026...

₹25.00 ₹40.00