Same Day Delivery in Delhi 7496865680
Product Image 1 Product Image 2 Product Image 3 Product Image 4 Product Image 5 Product Image 6 Product Image 7 Product Image 8 Product Image 9 Product Image 10 Product Image 11 Product Image 12 Product Image 13 Product Image 14 Product Image 15
1 / 15
Thumbnail 1
Thumbnail 2
Thumbnail 3
Thumbnail 4
Thumbnail 5
Thumbnail 6
Thumbnail 7
Thumbnail 8
Thumbnail 9
Thumbnail 10
Thumbnail 11
Thumbnail 12
Thumbnail 13
Thumbnail 14
Thumbnail 15

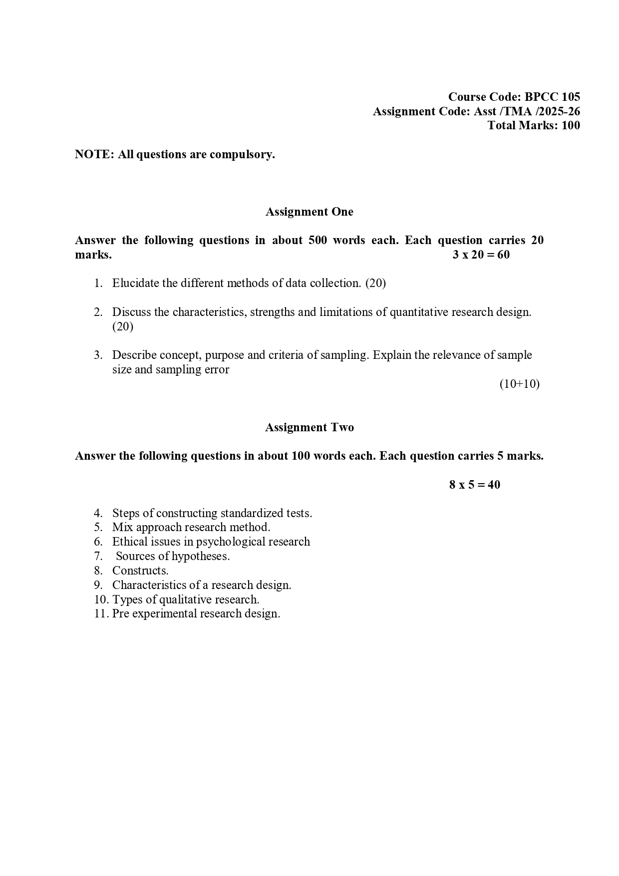
IGNOU BPCC 105 Solved Assignment 2025-2026: Psychological Research (English Medium) | IGNOU Students Portal

| In Stock
₹25 ₹40 38% OFF
Secure Payment
Instant Download

Product Details

Course: BAFPC
Category: Solved Assignments (Typed)
Pages: 17
Format: pdf
Language: English
Session: 2025-2026

Valid for:

This solved assignment is for the academic year 2025-2026 and is valid for both July 2025 and January 2026 admission cycles.

Product Description

Looking for the verified BPCC 105 Solved Assignment 2025-2026? At www.ignoustudentsportal.com, we provide the most accurate and updated solutions for the "Psychological Research" This PDF is specifically designed for IGNOU students enrolled in BAFPC (Bachelor of Arts (Psychology)), and other CBCS programs.

Don't risk your grades with unverified content. Our BPCC 105 solved assignment follows the official IGNOU July 2025-January 2026 session guidelines, ensuring you submit correct and marks-oriented answers to your study center.

✅ Key Features for Students:
• 100% Correct Answers: Prepared by subject experts specifically for the BPCC 105 curriculum.
• Course Codes: Relevant for BAFPC, and related IGNOU programs.
• Instant Access: Download the PDF immediately after payment from IGNOU Students Portal.
• Latest Session: Fully updated for the 2025-2026 TMA (Tutor Marked Assignment).
• Submission Ready: Structured format to help you score 80-90+ marks in your continuous evaluation.

📌 Why Trust IGNOU Students Portal? Assignments carry 30% weightage in your final IGNOU marksheet. One mistake in your TMA can lower your overall percentage. ignoustudentsportal.com is trusted by thousands of students for providing reliable, plagiarism-free, and easy-to-understand study materials that simplify your IGNOU journey.

⚠️ Disclaimer: This BPCC 105 Psychological Research solved assignment is for reference purposes. We recommend using these verified answers as a guide to write your own unique responses to ensure 100% originality during submission.

📜 Terms & Conditions
1. This product is non-refundable once downloaded.
2. Files are for personal use only—redistribution or resale is prohibited.
3. In case of any technical issue with the download link, contact our support within 24 hours for assistance.
4. Assignments are regularly updated as per the latest IGNOU guidelines.

👉 Get your BPCC 105 Solved Assignment 2025-2026 (English Medium) now and download instantly after payment from www.ignoustudentsportal.com.

Student Reviews

No reviews yet. Be the first to review!

Please login to write a review.

Related Products

IGNOU BPCC 105 Solved Assignment 2025-2026: मनोवैज्ञानिक शोध (Hindi Medium) | IGNOU Students Portal

IGNOU BPCC 105 Solved Assignment 2025-2026: मनोवैज्ञानिक शोध (Hindi Medium) | IGNOU Students Portal

Looking for the verified BPCC 105 Solved Assignment 2025-202...

₹25.00 ₹40.00
IGNOU BPCC 107 Solved Assignment 2025-2026: Social Psychology (English Medium) | IGNOU Students Portal

IGNOU BPCC 107 Solved Assignment 2025-2026: Social Psychology (English Medium) | IGNOU Students Portal

Looking for the verified BPCC 107 Solved Assignment 2025-202...

₹25.00 ₹40.00
IGNOU BPCC 107 Solved Assignment 2025-2026: समाज मनोविज्ञान (Hindi Medium) | IGNOU Students Portal

IGNOU BPCC 107 Solved Assignment 2025-2026: समाज मनोविज्ञान (Hindi Medium) | IGNOU Students Portal

Looking for the verified BPCC 107 Solved Assignment 2025-202...

₹25.00 ₹40.00