Same Day Delivery in Delhi 7496865680
Product Image 1 Product Image 2 Product Image 3 Product Image 4 Product Image 5 Product Image 6 Product Image 7 Product Image 8
1 / 8
Thumbnail 1
Thumbnail 2
Thumbnail 3
Thumbnail 4
Thumbnail 5
Thumbnail 6
Thumbnail 7
Thumbnail 8

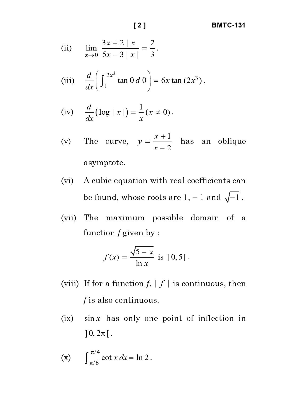
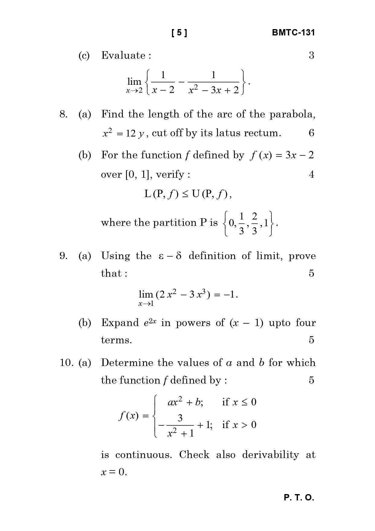
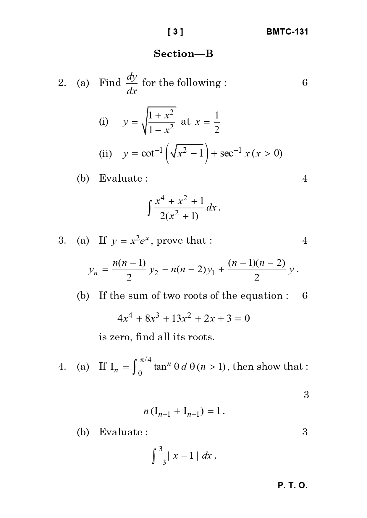
IGNOU BMTC 131 Solved Previous Year Question Paper – June 2023 (English Medium) – Download PDF

| In Stock
₹20
Secure Payment
Instant Download

Product Details

Course: BAG, BSC
Category: Solved Previous Year Papers (PYQs)
Pages: 38
Format: pdf
Language: English
Session: DECEMBER 2023

Product Description

Looking for the IGNOU BMTC 131 Solved Previous Year Question Paper – June 2023 (English Medium)? At www.ignoustudentsportal.com, we provide 100% accurate and well-structured solved PYQs prepared by subject experts as per the latest IGNOU exam guidelines. This solved paper is available in PDF format for instant download after payment.
Our solved PYQs are written in clear, simple, and easy-to-understand language, making them ideal for exam preparation and revision. With step-by-step answers and properly explained concepts, this solved question paper will help you understand the exam pattern, practice effectively, and boost your confidence before appearing in the exam.
📌 Why Are IGNOU Previous Year Question Papers Important?
IGNOU PYQs are a vital tool for students as they:
1. Help you understand the exam pattern and marking scheme.
2. Highlight important and frequently asked questions.
3. Improve your time management and answer-writing skills.
4. Increase your chances of securing good marks in Term-End Examinations (TEE).
📌 Why Choose Our Solved PYQs?
• Prepared strictly according to IGNOU’s exam papers and marking scheme.
• Well-explained, plagiarism-free answers by subject experts.
• Easy-to-read and student-friendly language for quick understanding.
• Saves preparation time and helps you score 80+ marks easily.
• Trusted by thousands of IGNOU students across India.
⚠️ Important Note & Disclaimer
This BMTC 131 Solved Previous Year Question Paper (June 2023 , English Medium) is provided for study and reference purposes only. Students are advised to use it as a guide and practice writing answers in their own words before the final exam. We do not claim it as official IGNOU material.
📜 Terms & Conditions
1. This product is non-refundable once downloaded.
2. Files are for personal use only—redistribution or resale is strictly prohibited.
3. In case of a technical issue with the download link, contact our support within 24 hours for assistance.
4. Solved PYQs are regularly updated as per the latest IGNOU exam guidelines.
👉 Get your IGNOU BMTC 131 Solved Previous Year Question Paper – June 2023 (English Medium) now and download instantly after payment from www.ignoustudentsportal.com

Student Reviews

No reviews yet. Be the first to review!

Please login to write a review.

Related Products

BABG 171 IGNOU SOLVED ASSIGNMENT 2024-25 (ENGLISH MEDIUM)

BABG 171 IGNOU SOLVED ASSIGNMENT 2024-25 (ENGLISH MEDIUM)

Product Description Get the latest IGNOU BABG 171 Solved As...

₹25.00 ₹30.00
BABG 171 IGNOU SOLVED ASSIGNMENT 2024-25 (HINDI MEDIUM)

BABG 171 IGNOU SOLVED ASSIGNMENT 2024-25 (HINDI MEDIUM)

Get the latest IGNOU BABG 171 Solved Assignment 2024-25 (HIN...

₹25.00 ₹30.00
BABG 171 IGNOU SOLVED ASSIGNMENT 2024-25 (HINDI MEDIUM) by Saurabh

BABG 171 IGNOU SOLVED ASSIGNMENT 2024-25 (HINDI MEDIUM) by Saurabh

Get the latest IGNOU BABG 171 Solved Assignment 2024-25 (HIN...

₹25.00 ₹30.00