Same Day Delivery in Delhi 7496865680
Product Image 1 Product Image 2 Product Image 3 Product Image 4
1 / 4
Thumbnail 1
Thumbnail 2
Thumbnail 3
Thumbnail 4

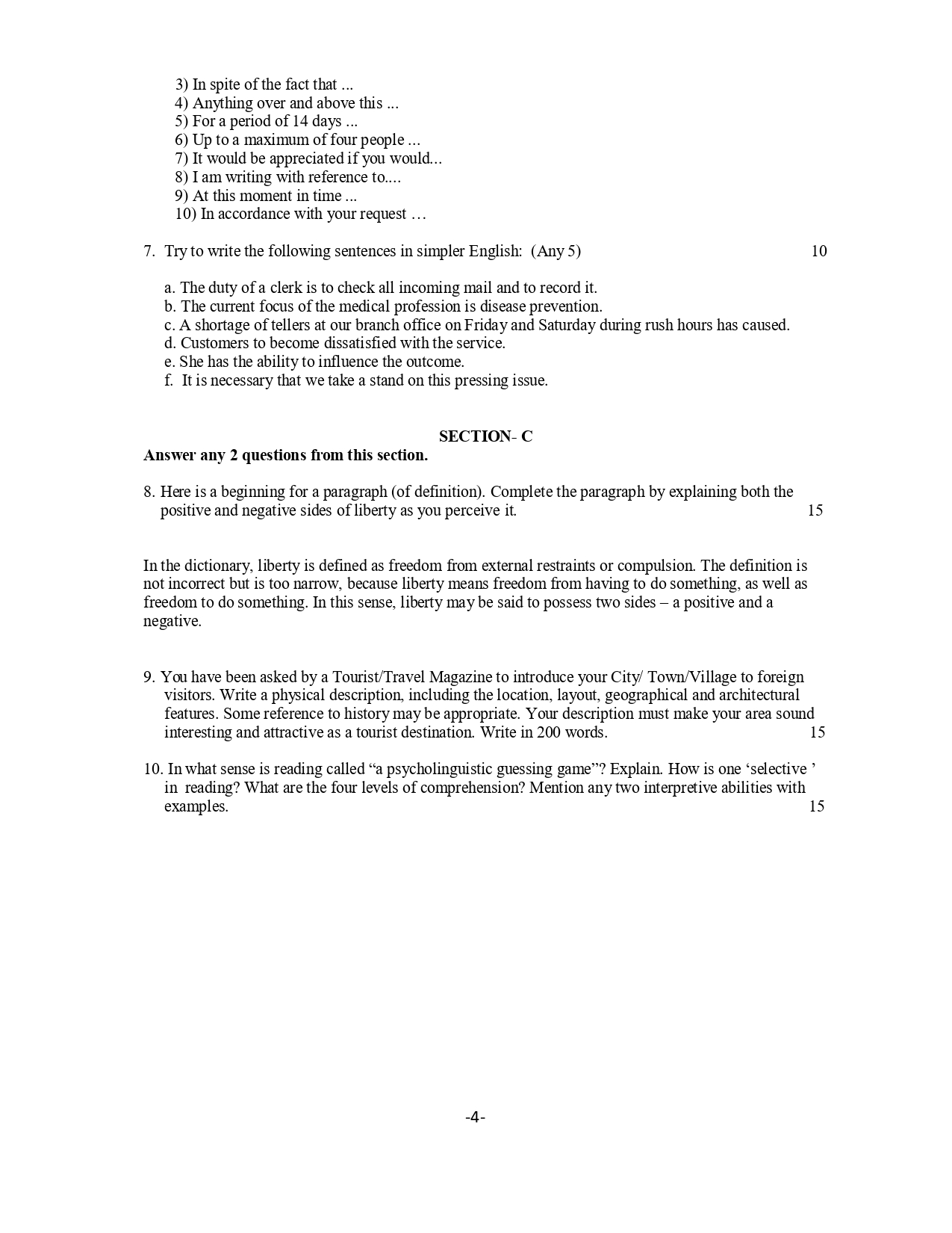
IGNOU BEGAE 182 Solved Assignment 2024-25 (ENGLISH Medium) – Download PDF

| In Stock
₹25 ₹40 38% OFF
Secure Payment
Instant Download

Product Details

Course: BAG, BCOM
Category: Solved Assignments (Typed)
Pages: 16
Format: pdf
Language: ENGLISH
Session: 2024-2025

Valid for:

This solved assignment is for the academic year 2024-25 and is valid for both July 2024 and January 2025 admission cycles.

Product Description

Looking for the IGNOU BEGAE 182 Solved Assignment 2024-25 (ENGLISH COMMUNICATION SKILLS) in ENGLISH Medium? At www.ignoustudentsportal.com, we provide 100% accurate and well-structured solved assignments prepared by subject experts as per the latest IGNOU guidelines. This assignment solution is updated for the 2024-25 session and is available in PDF format for instant download after payment.
Our solved assignments are written in simple and easy-to-understand language, making it convenient for every student to prepare and submit on time. With well-structured answers and properly organized content, this assignment will not only save your time but also increase your chances of securing good grades in your Tutor Marked Assignments (TMA).

📌 Why Are IGNOU Assignments Important?
The evaluation at IGNOU consists of two parts:
1. Continuous Evaluation through Assignments (30% weightage) – Assignments play a crucial role in enhancing your understanding of the subject, improving your writing skills, and contributing significantly to your overall grade.
2. Term-End Examination (70% weightage) – The final exam tests your comprehensive subject knowledge.
Therefore, solved assignments are not just a formality—they are a mandatory requirement for appearing in the term-end examination. Submitting well-prepared assignments on time can help you secure good grades in the overall result.

📌 Why Choose Our IGNOU Solved Assignments?
• Prepared strictly according to IGNOU question papers and marking scheme.
• Clear, well-organized, and plagiarism-free answers.
• Easy to understand—ideal for learning, revision, and writing in your own words.
• Saves your time and increases your chances of scoring 80+ marks.
• Trusted by thousands of IGNOU students across India.

⚠️ Important Note & Disclaimer
This BEGAE 182 solved assignment PDF is provided for reference and study purposes only. Students are advised to use it as a guide and rewrite answers in their own words before submission to maintain originality and avoid any issues during evaluation. We do not claim it as official IGNOU material.

📜 Terms & Conditions
1. This product is non-refundable once downloaded.
2. Files are for personal use only—redistribution or resale is prohibited.
3. In case of any technical issue with the download link, contact our support within 24 hours for assistance.
4. Assignments are regularly updated as per the latest IGNOU guidelines.

👉 Get your BEGAE 182 Solved Assignment 2024-25 (ENGLISH Medium) now and download instantly after payment from www.ignoustudentsportal.com.

Student Reviews

No reviews yet. Be the first to review!

Please login to write a review.

Related Products

BABG 171 IGNOU SOLVED ASSIGNMENT 2024-25 (ENGLISH MEDIUM)

BABG 171 IGNOU SOLVED ASSIGNMENT 2024-25 (ENGLISH MEDIUM)

Product Description Get the latest IGNOU BABG 171 Solved As...

₹25.00 ₹30.00
BABG 171 IGNOU SOLVED ASSIGNMENT 2024-25 (HINDI MEDIUM)

BABG 171 IGNOU SOLVED ASSIGNMENT 2024-25 (HINDI MEDIUM)

Get the latest IGNOU BABG 171 Solved Assignment 2024-25 (HIN...

₹25.00 ₹30.00
BABG 171 IGNOU SOLVED ASSIGNMENT 2024-25 (HINDI MEDIUM) by Saurabh

BABG 171 IGNOU SOLVED ASSIGNMENT 2024-25 (HINDI MEDIUM) by Saurabh

Get the latest IGNOU BABG 171 Solved Assignment 2024-25 (HIN...

₹25.00 ₹30.00